如果您还没有注册,请点击注册
已注册 请登陆
小编寄语:
海岛奇兵末路穷途副本怎么打 末路穷途打法心得 在海岛奇兵游戏中,末路穷途副本对很多队伍来说难度还是相当大的。那么末路穷途副本怎么打呢?下面小坑就来给大家讲讲末路穷途副
海岛奇兵末路穷途副本怎么打 末路穷途打法心得
在海岛奇兵游戏中,末路穷途副本对很多队伍来说难度还是相当大的。那么末路穷途副本怎么打呢?下面小坑就来给大家讲讲末路穷途副本的打法心得。
末路穷途副本打法心得
1、队员团结
在强大的队伍没有了团结什么都是浮云,所以队员必须团结听指挥作战。当然游戏里面没有绝对的让大家对你的服从,更多的是朋友之间的攻克难关。
2、队员活跃
队员不活跃你们队要倒闭了,不活跃就是意味着没有情报。打1250副本情报是552个,按7天一次计算就是3864,(当开副本的情报不包括有时候变态需要破坏)所以在按50人平均分一个人一个星期要70情报,没有这个保证就放弃吧。
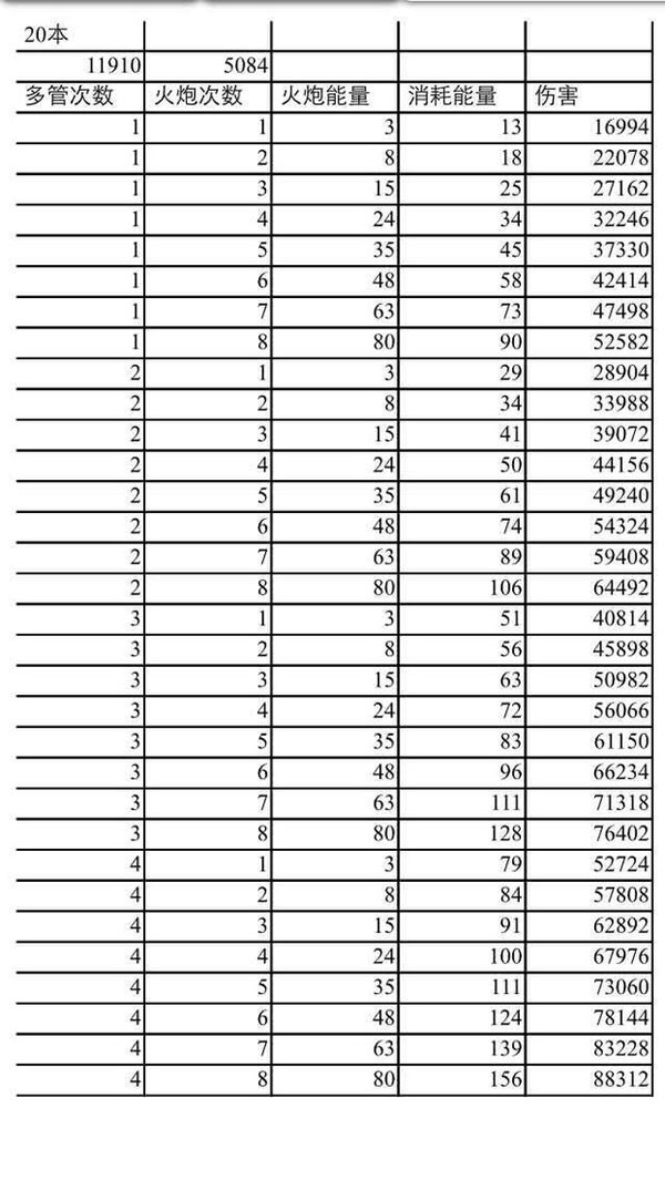
3、变态地图炸建筑计算
1250很多时候都有变态地图,任务是没人能完成的,只有一个办法就是炸。炸也要炸出最高伤害,有可能因为计算炸伤害就能剩一个人了。(下面的表格大家可以参考)

4、兵种配置
1250只要两个兵种MM、野人,这两个兵种你没有保证强大那你放弃吧,没有这两个兵种在副本坦克、步兵、投弹兵等可能会有奇效不过大部分时候还是主要依靠野人和妹子,因为他们在特遣队里面的表现实在是太强大了。
以上就是打末路穷途副本的心得分享,希望对大家有所帮助,也祝大家在游戏中都能够玩的开心。

关注17晃官方微信
扫一扫
关注晃游部落APP